ENGLISH
中文版
首页
集团简介
集团新闻
产品中心
集团资质
设备设施
联系我们
当前位置:
首页
> 集团资质
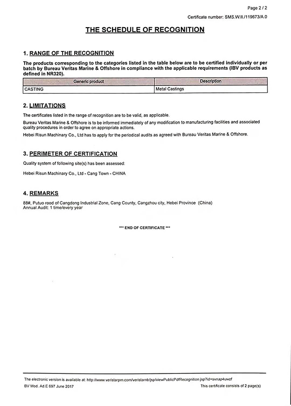
BV工厂认可证书
发布时间:2021-06-04 点击量:1361
上一篇:CCS工厂认可证书
下一篇:质量体系中文版2021